В работе рассматривается асимптотическое представление по степеням малого параметра, связанного со временем ретардации решения задачи о плоском стационарном слое в слабом водном растворе полимера. Показывается, что задачи последовательных приближений по малому параметру, в отличие от исходной задачи, имеют автомодельные решения.
Идентификаторы и классификаторы
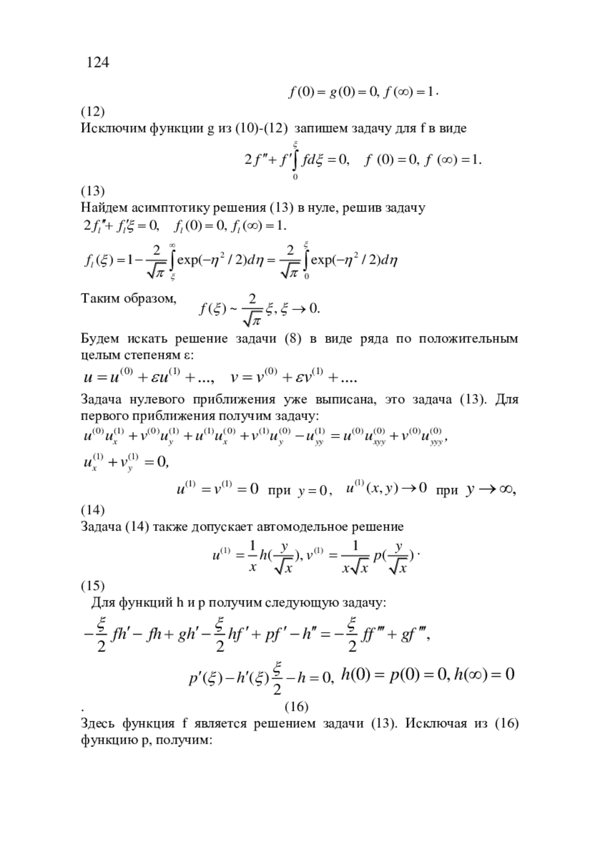
В отличие от задачи Блазиуса [9] система (5) с краевыми условиями (6) не имеет автомодельного решения (этому препятствует неизменность переменной y при сохраняющем систему (4) преобразовании растяжения x cx , v с v , 1 u u ). Тем не менее удается привести эту задачу к более обозримому виду.
Список литературы
1. Войткунский Я. И., Амфилохиев В. Б., Павловский В. А. Уравнения движения жидкости с учетом ее релаксационных свойств // Труды Ленинградского ордена Ленина кораблестроительного института - 1970. - Т.69. - С. 19-26.
2. Павловский В.А. К вопросу о теоретическом описании слабых водных растворов полимеров // ДАН СССР. - 1971. - Т.200, №4. - С. 809-812.
3. Осколков А.П. О единственности и разрешимости в целом краевых задач для уравнений движения водных растворов полимеров // Зап. науч. сем. ЛОМИ. - 1973. - Т.38. - С. 98-136.
4. Звягин В.Г., Турбин М.В. Математические вопросы гидродинамики вязкоупругих сред. - М.: УРСС: КАСАНДР, 2016ю - 416 с.
5. Пухначев В.В., Фроловская О.А. О модели Войткунского - Амфилохиева - Павловского движения водных растворов полимеров // Труды математического института им. В.А. Стеклова. - 2018. - Т.300. - С. 176-189. EDN: YTFOZC
6. Пухначев В.В., Фроловская О.А., Петрова А.Г. Растворы полимеров и их математические модели // Известия высших учебных заведений. Северо-Кавказский регион. Естественные науки. - 2020. - (2):82-91. EDN: KJNJFV
7. Petrova, A.G. On the unique solvability of the problem of the flow of an aqueous solution of polymers near a critical point. // Mathematical Notes. - 2019. - Т.106. - С. 784. EDN: QOCHLM
8. Meleshko S.V., Pukhnachev V.V. Group analysis of boundary layer equations in the models of polymer solutions. // Symmetry. - 2020. - V.12. - 1084. EDN: AONYOK
9. Schlichting H., Gersten K. Boundary-Layer Theory. - 8th Edition. - Springer-Verlag: Berlin, 2000.
Выпуск
Другие статьи выпуска
В статье обсуждается роль цифровых технологий при изучении математических дисциплин. Приведены примеры применения цифровых технологий на занятиях по математическому анализу.
В статье рассмотрены основные аспекты программы дополнительного профессионального образования. Рассмотрены цели реализации программы, планируемые результаты обучения
Статья посвящена вопросам разработки и применения электронных учебно-методических комплексов IT-дисциплин в процессе подготовки бакалавров, обучающихся в Институте математики и информационных технологии АлтГУ.
Статья посвящена современным проблемам преподавания математики в колледже на первом курсе и адаптации студентов к новой форме подачи учебного материала.
Статья посвящена рассмотрению проблем, выявленных в результате преподавания курса «Цифровая культура в профессиональной деятельности» у студентов не ИТ-направлений и специальностей. Предложены пути решения выявленных проблем.
Изучены возможности игрового движка Unity и существующего для него набора инструментов дополненной реальности Vuforia SDK. Были созданы и подобраны игровые ресурсы для использования в среде разработки. Реализована демоверсия мобильного обучающего приложения, симулирующего поведение пешехода при переходе дороги. Разработаны планы по дальнейшему развитию проекта.
Рассматривается автоматическая генерация индивидуальных вариантов текстовых заданий по темам «Линейная алгебра» и «Аналитическая геометрия» по дисциплине «Математика» с использованием систем Wolfram Mathematica и LaTeX.
В данной статье рассматривается проблема определения одаренности и классификация видов одаренности на основе анализа научно-технической литературы. Также обсуждались результаты последних исследований в области выявления одаренности с использованием информационных технологий. Результаты эмпирического анализа показали, что на сегодняшний день научные и практические идеи выявления одаренности с помощью информационных технологий изучены недостаточно глубоко.
В статье анализируется роль электронных образовательных ресурсов в самостоятельной работе студентов. Описывается опыт применения электронных образовательных ресурсов при изучении курса дискретной математики.
ОЦЕНКА УСЛОВИЙ ОБИТАНИЯ, ЧИСЛЕННОСТИ, ПОЛОВОЙ И ВОЗРАСТНОЙ СТРУКТУРЫ ПОПУЛЯЦИИ РАЧКА ARTEMIA ОЗЕРА КУЛУНДИНСКОЕ
Статья посвящена исследованию применения браузерного атрибута Supercookie в задаче аутентификации пользователя. Описаны принципы формирования идентификатора Supercookie, а также проведён эксперимент по определению времени вычисления признака. Результаты эксперимента и исследование особенностей работы с Supercookie позволяют выявить некоторые преимуищества и недостатки использования Supercookie в качестве одного из идентификаторов пользователя, а также дают предпосылки для дальнейших исследований.
Статья посвящена исследованию возможности использования современных компьютерных технологий для уменьшения травматизма населения и быстрого реагирования администрации города на опасные участки.
В статье представлена реализация сервиса для проведения видеоконференций для корпоративного пользования. Разработанный сервис основан на использовании алгоритмов суммаризации, классификации текстовых данных.
В статье приведено описание систем захвата движений при анимации 3D моделей. Подробно рассмотрена технология Motion Capture. Обоснован выбор программного обеспечения и электронных компонент для сборки аппаратной части тестового прототипа системы трекинга и обработки движений.
В статье рассматривается построение имитационных моделей распространения различных вирусных заболеваний на территории Алтайского края.
Статья посвящена исследованию архитектурных особенностей нейросети для обнаружения состояния сонливости водителя. Показаны библиотеки, методы и инструменты, позволяющие реализовать нейросеть, описаны слои, используемые в них функции и параметры.
Статья посвящена формированию системы расчета пожарных рисков при эксплуатации электроустановок в аграрно-промышленном комплексе региона. Для расчета используются экспертные системы и нейронные сети. На основе разработанной системы можно осуществлять расчет текущего пожарного риска эксплуатации электроустановки и с помощью имитационного моделированию определить какие профилактические мероприятия принесут наибольший эффект по уменьшению этого риска.
Статья посвящена сравнению методов моделирования экологических ниш вида Pulsatilla turczaninovii Кryl. et Serg. (Прострел Турчанинова) - редкого лекарственного растения, имеющего узкую экологическую приуроченность, связанную со специфическими условиями произрастания. В ходе проведения исследования построены модели случайного леса и логистической регрессии, проведен сравнительный анализ результатов моделирования.
В статья посвящена исследованию по проектированию и разработке специализированного портала для публикации готовы программных разработок студентов и магистров с возможностью их тестирования на основе Docker-платформы.
В статье описываются модули информационной системы, разработанной авторами и предназначенной для внутренней оценки качества образования в вузе, а именно качества подготовки обучающихся и их удовлетворенности организацией образовательного процесса. Данные подсистемы интегрированы в электронную информационную образовательную среду. Их использование позволяет автоматизировать обработку больших массивов данных - результатов анкетирования и тестирования обучающихся.
В статье рассматриваются метод обеспечения конфиденциальности данных средствами Цифровой Стеганографии, использующий в качестве файлов-контейнеров изображения формата GIF, описывается и производится возможная атака на данный метод. Как результат, предлагаются возможные средства повышения стойкости системы против проводимой атаки.
Данная статья посвящена разработке базы данных параллельных шаблонов документов на нескольких языках в рамках проекта «Роль русского языка как языка перевода официально-деловых текстов на территории Большого Алтая».
В статье представлены результаты исследовательского проекта по разработке многофункционального портала готовых программных разработок студентов. В работе сделан акцент на перспективные направления по развитию и продвижению разработанного приложения для информационно-образовательной среды вуза.
Статья посвящена разработке информационной системы учета обслуживания кассовых аппаратов для компании ООО «Информсервис».
Статья посвящена исследованию технологий компьютерных шахмат и разработке программы для обучения детей игре в шахматы
Исследованы вопросы диагностики работы технологических объектов магистрального нефтепровода и управления режимами их работы с использованием автоматизированных систем. Изучены системы и методы диагностики и определения утечек нефти из магистральных нефтепроводов. Описан способ дистанционного обнаружения утечки нефти из магистральных нефтепроводов. Описаны SCADA-системы, позволяющие отслеживать изменения всех технологических параметров перекачки в реальном режиме. Формализована и получена математическая постановка задачи управления режимами работы технологических объектов магистрального нефтепровода в условиях нечеткости некоторой части исходной информации. На основе модификации идеи принципа главного критерия был разработан эвристический метод эффективного решения полученной нечеткой задачи.
В статье раскрывается проблема улучшения эффективности образовательной деятельности в медицинских учебных заведениях за счёт использования обучающе-контролирующих компьютерных игр, основанных на анализе и обработке данных и использовании запланированных сценариев и вариативности алгоритмов. Используя в процессе обучения компьютерные игры, студент получает навыки и знания, а также возможность проверить их, при этом сведя риски к минимуму.
В статье рассматривается компьютерная реализация математической модели оптимизации материального стимулирования ремонтной бригады, которая обеспечивает работоспособность оборудования промышленного цеха. Разработана методика применения математических и компьютерных средств в условиях реального промышленного предприятия на территории Республики Казахстан.
Статья посвящена исследованию возможности использования современных компьютерных технологий для диагностики стоматологических заболеваний у детей
В статье рассмотрена концепция и текущие результаты разработки информационного сервиса, ориентированного на развитие электронного варианта заключения сделок с недвижимостью.
В статье предложен ряд способов обработки и анализа электрокардиографических сигналов (ЭКС). Обработка сигнала включает в себя устранение дрейфа изолинии и компенсацию высокочастотного шума. Анализ подразумевает детекцию особых точек ЭКС и генерацию модельного искусственно-сгенерированного сигнала, который может представлять собой медицинский эталон по характеристикам положения и амплитуды особых временных точек. Впоследствии данный модельный сигнал накладывается на исходный и вычисляется среднеквадратическая ошибка, служащая оценкой качества наложения и определения степени отклонения от медицинской нормы.
В статье рассматривается применение информационных и компьютерных технологий для анализа и оценки экологической ситуации по областям Республики Казахстан за период 2017-2020 гг. на основе показателей, характеризующих уровень загрязнения окружающей среды.
В работе рассматривается создание web-приложения, которое позволит облегчить работу врачей-педиатров, путем уменьшения затрат времени на определение степени дисгармоничности физического развития ребенка. В приложении реализован калькулятор для подсчета индекса массы тела ребенка, на основе вычислений которого определяется оценка.
Данная статья посвящена разработке информационной системы для ателье «Happy baby».
В работе на примере АО «ФНПЦ «Алтай» рассмотрены вопросы и особенности создания информационно-измерительной системы (ИИС) испытаний изделий специальной химической промышленности как драйвера, так и элемента структуры цифрового пространства предприятия. Цифровое пространство, под которым понимается совокупность информационно-измерительных, справочных, управляющих систем, и инструментов, а также результаты в виде цифровых данных, моделей, отчетов, баз данных, информационно и технологически связанных в единую автоматизированную информационно-управляющую систему предприятия. На текущий момент данная ИИС является центральной частью системы испытания изделий, обработки данных и получения отчетов. Её разработка ведется с учетом необходимости интеграции с другими подсистемами в рамках единого информационного пространства (ЕИП) предприятия, в соответствии со стратегией цифровой трансформации.
Проблема безопасного хранения паролей является актуальной как никогда в связи с увеличением количества атак на базы данных паролей. Одним из решений этого вопроса является хранение хеш-кодов вместо самих паролей.
В работе рассматривается создание онлайн сайта университетских столовых, что позволит уменьшить заболеваемость студентов. На сайте предусмотрено меню на любой день, предзаказ желаемых блюд. Профиль студента с историей заказов. На сайте представлена страница поставщиков продуктов, диетические столы.
Статья описывает создание базы данных и последующего её использования для изучения педиатрических лёгочных звуков с помощью современных компьютерных технологий.
В настоящей работе рассматривается конечно-элементный метод решения задачи трехфазной неизотермической фильтрации сжимаемой жидкости с учетом фазовых переходов. Постановка полностью дискретной схемы основана на применении конечно-разностной аппроксимации для временных производных и конечно-элементного метода по пространственному направлению.
В статье доказана разрешимость «в малом» по времени начально-краевой задачи о нестационарном неизотермическом одномерном движении сыпучей среды.
Статья посвящена созданию и разработке веб-приложения, содержащего шаблоны деловых текстов на разных языках территории Большого Алтая.
Основная проблема при решении задач классификации, заключается в том, что построенные на несбалансированных данных модели имеют «перекос» в сторону большего класса, особенно актуальна проблема несбалансированности классов в таких областях как медицина, маркетинг, потребительское кредитование. В последние годы в качестве методологии исследования несбалансированных данных применяются методы псевдорандомизации. В статье рассматривается один из таких методов - метод сопоставления оценок склонностей (Propensity Score Matching - PSM). Прикладная задача исследования заключается в изучении эффектов программы льготного кредитования сельхозпроизводителей на развитие сельского хозяйства в Оренбургской области.
В статье обсуждается проблема семантической сегментации полевых изображений сельскохозяйственной культуры и сорной растительности с использованием архитектур сверточных нейронных сетей. В работе рассматривались две архитектуры: классическая U-Net и U-Net с предварительно обученным кодером Resnet 50. Точность сегментации оценивалась при помощи метрики среднего mIoU, метрики IoU, а также матрицы ошибок классификации. U-Net Resnet 50 показала наилучшую производительность и самую высокую точность (IoU=0,9506; mIoU=0,8723). Результаты могут быть использованы для обучения роботизированных устройств, используемых для точной обработки (опрыскивания) культурных растений в сельском хозяйстве.
Работа посвящена описанию и анализу бизнес-процессов разработки интернет-магазина продовольственных товаров, а также проектированию с целью последующего внедрения автоматизированной информационной системы управления онлайн продажами.
Современное развитие социально-экономических систем опирается на грамотное планирование процессов, проходящих внутри системы. Структурное моделирование является одним из развивающихся методов, применяющихся в данной области. Однако, проблематика заключается в недостаточной изученности применения данных методов в планировании социально-экономических систем. В статье рассматриваются подходы и методы структурного моделирования социально-экономических систем и описываются результаты разработки программного инструментария для проведения прикладного исследования.
В работе проведен сравнительный анализ методов восстановления пропусков в рядах метеорологических данных. Использованы данные по среднемесячным и среднегодовым величинам температуры воздуха и месячным и годовым суммам осадков за период 1950-2021 гг. на территорию стран макрорегиона Большой Алтай. В сравнительном анализе тестировались три метода: среднее значение, линейная регрессия и универсальный кригинг. Результаты показали наибольшую точность интерполяции методом универсального кригинга, а также возрастание ошибки восстановления данных для высокогорных пунктов метеорологического мониторинга.
Работа посвящена описанию и анализу бизнес-процессов энергокомпании, а также проектированию с целью последующего внедрения автоматизированной информационной системы для учета показаний счетчиков электроэнергии АО «Сетевая компания Алтайкрайэнерго».
В работе представлены результаты применения методов регрессионного анализа к оценке экономической эффективности рекламы различного вида на примере предприятия общественного питания. В работе использованы данные по суточным продажам и затратам за период 2019-2022 гг. Результаты подтвердили наличие положительного эффекта рекламы, значимо, влияющую на выручку предприятия.
В работе приводятся результаты разработки цифрового сервиса, позволяющего собирать и обобщать прогнозные данные по погоде с использованием ресурсов ГИСМЕТЕО и Яндекс. Погода для заданной территории. Программа позволяет интерполировать прогнозные значения в целевом пункте с учетом особенностей рельефа местности. Тестирование точности прогноза погоды выполнено на тестовом полигоне в Алтайском крае.
Статья посвящена исследованию принятия решений при выборе программы страхования жизни при помощи методов теорий принятий решений, теории вероятностей, теории игр, а также методов прогностической аналитики с применением алгоритмов машинного обучения.
В работе представлены результаты разработки конструкции парктроника, позволяющей в интерактивном режиме осуществлять автоматические измерения дистанции до ближайшего объекта, записывать и вопроизводить информацию на дисплее для пользователя. Также устройство снабжено световыми индикаторами и пьезозвуковым устройством. В качестве базовой платформы разработки устройства рассматривается Ардуино.
Обсуждаются условия сходимости модели динамики коллективного поведения к равновесию Нэша в модели олигополии Курно в условиях неполной информации.
Статья посвящена исследованию ограниченности решения задачи Коши для неоднородной системы движения вращающейся жидкости при малых финитных колебаниях.
Исследуются периодические изгибно-гравитационные волны, распространяющиеся по замершему каналу с учетом симметричного и несимметричного изменения толщины льда. Канал имеет прямоугольное поперечное сечение. Жидкость в канале невязкая, несжимаемая и покрыта льдом. Течение, вызванное прогибом льда, является потенциальным. Лед моделируется тонкой упругой пластиной, толщина которой изменяется линейно. Периодическая двумерная задача сводится к задаче о профилях волн поперек канала. Решение последней получено методом нормальных мод упругой пластины с линейным изменением толщины.
Статья посвящена исследованию линейных гидроупругих волн, распространяющихся в канале, покрытом льдом. Вдоль канала толщина льда непостоянна. Канал конечной глубины имеет прямоугольное поперечное сечение. В направлении оси
В настоящей работе представлен вывод дифференциального уравнения, описывающего процесс насыщения раствора в некотором конечном объёме. Решение соответствующей задачи Коши получено аналитическим способом. Его анализ позволяет ответить на многие вопросы практической направленности.
Рассматривается трехмерная задача о распространении колебаний в ледовом покрове с линейно изменяющейся толщиной льда, вызванных движением подводного тела. Подводное тело моделируется трехмерным диполем постоянной интенсивности, который движется с постоянной скоростью вдоль канала. Диполь, движущийся в канале, моделирует движение сферического твердого тела, если интенсивность диполя достаточно мала и радиус сферы значительно меньше расстояния между диполем и стенками.
Исследование задачи о прогибах пористого льда под действием движения внешней нагрузки. Построение функций, описывающих прогиб льда. Определение влияния параметра пористости и толщины льда на гидроупругие волны, распространяемые от нагрузки, в случае конечной глубины.
Доклад посвящён исследованию односторонней задачи для псевдопараболического оператора Баренблатта - Желтова - Кочиной в одномерном случае. Эта задача формулируется в виде вариационного неравенства и с физической точки зрения моделирует нестационарный процесс фильтрации вязкой жидкости в трещиновато-пористой галерее с ограничением на модуль скорости фильтрации по трещинам. Теорема существования слабого обобщённого решения этой задачи известна в литературе как в одномерном, так и многомерном случаях, и следует из результатов, полученных М. Пташник (Nonlinear Analysis, 2007, vol. 66, pp. 2653-2675) с применением метода штрафа. При этом оператор штрафа выбирался в стандартном виде. В настоящем исследовании рассматривается приближённая начально-краевая задача с оператором штрафа А. Каплана и изучается семейство её решений. Благодаря специфической структуре оператора А. Каплана, удаётся получить повышенную регулярность слабого обобщённого решения исходной задачи по отношению к ранее известным свойствам регулярности, а также найти усиленное свойство аппроксимации этого решения последовательностью решений приближённой задачи с оператором А. Каплана. Основные результаты исследования подробно изложены в статье [Т. В. Саженкова, С. А. Саженков, Е. В. Саженкова. Регулярность и аппроксимация решения односторонней задачи для псевдопараболического оператора Баренблатта - Желтова - Кочиной // Матем. заметки СВФУ, 2022, 29 (1), 69 - 87].
Доклад посвящён исследованию пространственно-одномерной начально-краевой задачи для классической системы нестационарных уравнений линейной термоупругости с периодически быстро осциллирующими по пространственной переменной физическими характеристиками. Задача содержит положительный малый параметр - отношение минимального периода пространственных осцилляций и всего термоупругого тела. Проводится процедура гомогенизации, то есть предельный переход при
В работе приведена математическая модель биологической ткани с учетом деформации внеклеточного матрикса.
Статья посвящена исследованию движения смеси воды и твердых частиц грунта, попавших в реку во время проведения работ по расчистке русла выше по течению.
Статья посвящена построению математической модели углеродного цикла и её численному исследованию при различных значениях параметров.
В работе рассмотрена устойчивость для полной системы уравнений фильтрации двух несмешивающихся несжимаемых жидкостей в пороупругой среде.
В работе предложена новая структурно-феноменологическая реологическая модель, которую можно рекомендовать для инженерных расчетов течений растворов и расплавов полимеров. Тензор дополнительных напряжений содержит два слагаемых: стационарный вклад и тензор возмущений. Простота и надежность реологической модели обусловлены линейным характером уравнения для тензора возмущений, которое получено исходя из модифицированной модели Виноградова-Покровского. Расчет стационарного вклада предложено проводить по аппроксимационным выражениям, содержащим неизвестные функции. Для определения этих функций используется условие адекватности моделирования стационарных вискозиметрических течений. Это позволило вместо неизвестных функций ввести в рассмотрение семь скалярных параметров. На основе полученной модели были рассчитаны стационарные вискозиметрические функции при простом сдвиге и одноосном растяжении: стационарная сдвиговая вязкость, коэффициент первой разности нормальных напряжений, стационарная вязкость при одноосном растяжении. Также было исследовано влияние параметров модели на вид этих зависимостей. Показано, что модель с хорошей точностью описывает нелинейное вязкоупругое поведение текучих полимерных систем: аномалию вязкости, падение коэффициента первой разности нормальных напряжений, немонотонный характер зависимости стационарной вязкости при растяжении от скорости растяжения. Проведено сравнение вискозиметрических функций с экспериментальными данными для расплава промышленного образца полиэтилена. Также на основе полученной модели методом конечных элементов были выполнены расчеты напорного течения полимерной жидкости в каналах с параллельными стенками под действием постоянного перепада давления. Для сравнения были взяты канал с квадратным сечением и щелевой канал. При анализе линий тока показано, что в канале с квадратным сечением образуются восемь вихревых зон, а в щелевом канале их только четыре.
Численно анализируются условия детонации в водородном двигателе с искровым зажиганием, вызванной самовоспламенением, (тепловым взрывом) смеси перед фронтом пламени.
Работа посвящена литературному обзору математических моделей комбинированной терапии рака на основе ингибирования белков БЭТ семейства и иммунологических контрольных точек анти-CTLA-4.
В работе доказана разрешимость задачи для системы уравнений фильтрации двух несмешивающихся несжимаемых жидкостей в пороупругой среде.
В работе рассматриваетсяматематическая модель фильтрации жидкости в пороупругой среде. В первом случае исследуется изотермическая фильтрация без учёта фазовых переходов, во втором - неизотермическая фильтрация с учётом обмена масс между фазами. Проведено численное исследование двух задач в автомодельных переменных с помощью метода Рунге-Кутты четвертого порядка точности.
Статья посвящена исследованию движущейся нагрузки по поверхности замороженного канала с переменной толщиной льда.
В работе приведена математическая модель двухфазной фильтрации в твёрдом скелете с переменной пористостью, которая описывает фильтрацию воды и воздуха в ледовом пороупругом скелете. В двумерном случае рассмотрена фильтрация в тонком слое, получены решения в квадратурах. В модельном одномерном случае исследовано на устойчивость решение системы уравнений.
В работе рассматривается задача о максимальном потоке на ориентированном графе и созданы алгоритм и программа её численного решения техническими средствами, представленными в открытом доступе
В работе рассматриваются задачи, которые можно условно определить, как топологические задачи на прямой. При подготовке учащихся и студентов к участию в математических олимпиадах задачам такого характера следует уделить определённое внимание.
Статья посвящена моделированию влияния миграции населения на формирование предложения на региональном рынке труда.
В настоящей работе исследуется симметрические потоки Риччи на трехмерных группах Ли с левоинвариантной римановой метрикой.
Настоящая статья посвящена геометрии треугольника, в частности по изучению взаимного расположения вполне определенных замечательных точек неравнобедренного треугольника - его ортоцентра, центра вписанной окружности, центра описанной окружности, точки Нагеля и центра тяжести. Доказано, что четырехугольник, составленный из первых четырех замечательных точек, является трапецией, диагонали которой пересекаются в центре тяжести; эта трапеция не является описанной около окружности; найдены необходимые и достаточные условия, при которых она является вписанной в окружность; трапеция не является ортодиагональной; найдена площадь трапеции, выраженная через параметры исходного треугольника.
Статья посвящена исследованию инвариантных солитонов Риччи на трехмерных группах Ли с левоинвариантной (псевдо)римановой метрикой и полусимметрической связностью.
В статье найдены все направления, определяющие полусимметрическую связность, для которых тензор Риччи и тензор одномерной кривизны являются симметрическими на трехмерных группах Ли с левоинвариантной (псевдо)римановой метрикой.
Статья посвящена исследованию задачи об охране картинной галереи на поверхности выпуклого многогранника. Приводится основная теорема о картинной галерее, а также описание алгоритма поиска максимального паросочетания в двойственном графе выпуклого многогранника.
Статья посвящена классификации функционалов Минковского в трехмерном цифровом пространстве на основе типов окрестности двумерного цифрового пространства. В работе выдвигается алгоритм нахождения функционалов Минковского трехмерного цифрового пространства, основанного на двумерном случае.
Интерес к задаче Штейнера в настоящее время связан не только с самой математической проблемой, а и с большой актуальностью задачи для пространственной экономики и, в первую очередь, с проектированием оптимальных сетей по переносу вещества и энергии. Данная работа посвящена построению программного комплекса для получения оптимального транспортного пути между заданными точками.
Статья посвящена исследованию конформно киллинговых векторных полей на 2-симметрических лоренцевых многообразиях. Конформно киллинговы поля играют важную роль в исследовании группы конформных преобразований многообразия, теории солитонов Риччи, а также порождают важный класс локально конформно однородных (псевдо)римановых многообразий. В настоящее время наиболее подробно они изучены в случаях к = 2, 3 Д. В. Алексеевским, А. С. Галаевым и другими.
Пусть р - простое число, р\neq 2, s - натуральное число, s>=2, и Nps - класс всех 2-ступенно нильпотентных групп с коммутантом экспоненты р и содержащейся в центре группы периодической частью экспоненты рs-1, в которых из произвольного нетривиального коммутатора не извлекается корень степени р. В работе доказано, что класс Леви, порождённый произвольным содержащим циклическую группу порядка ps-1 неабелевым подквазимногообразием квазимногообразия Nps, совпадает с классом Леви, порождённым квазимногообразием Nps.
Статья посвящена исследованию основных понятий теории представлений, а также построению таблицы характеров группы диэдра D22.
В статье рассматриваются некоторые свойства класса Леви квазимногообразия, порожденного свободной 3-ступенно нильпотентной группой ранга 2.
В работе приводятся достаточные условия, влекущие конечную базируемость тождеств мультипликативных векторных пространств, вложенных в ассоциативные алгебры над бесконечным полем.
В работе построен сжатый граф делителей нуля кольца матриц
В статье приводятся условия коммутативности для ассоциативных колец с автоморфизмами.
В статье рассматриваются свободные m-произведения в классе метабелевых m-групп. Построено представление такого произведения m-групп автоморфизмами линейно упорядоченных множеств.
В работе найдены новые примеры квазимногообразий, порождённых конечной 2-ступенно нильпотентной группой экспоненты р (р - нечётное простое число) и не имеющих независимых базисов квазитождеств.
В статье построена пара квазимногообразий, верхнее из которых накрывает нижнее в решетке квазимногообразий решеточно упорядоченных групп.
Статья посвящена исследованию действительных корней с действительными коэффициентами методом Штурма, используя онлайн сервис WolframAlpha.
Статистика статьи
Статистика просмотров за 2025 год.
Издательство
- Издательство
- АлтГУ
- Регион
- Россия, Барнаул
- Почтовый адрес
- 656049, Алтайский край, город Барнаул, проспект Ленина, дом 61
- Юр. адрес
- 656049, Алтайский край, город Барнаул, проспект Ленина, дом 61
- ФИО
- Бочаров Сергей Николаевич (Руководитель)
- E-mail адрес
- rector@asu.ru
- Контактный телефон
- +7 (385) 2291291
- Сайт
- https://www.asu.ru/