Книга: Таблицы неопределенных интегралов (2-е изд.)
Неопределенные интегралы — наиболее употребительные формулы высшей математики. Самые разнообразные вопросы математики и ее приложений к технике, естествознанию, экономике, статистике и т. д. приводят к вычислению того или иного интеграла.
Комплект готовых интегралов нужен инженерам, техникам, экономистам, научным и практическим работникам самых разнообразных специальностей. Он необходим и студентам вузов и техникумов.
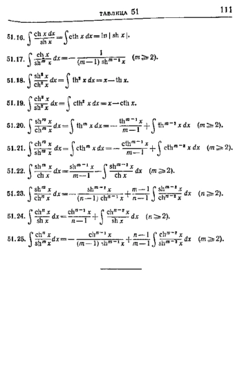
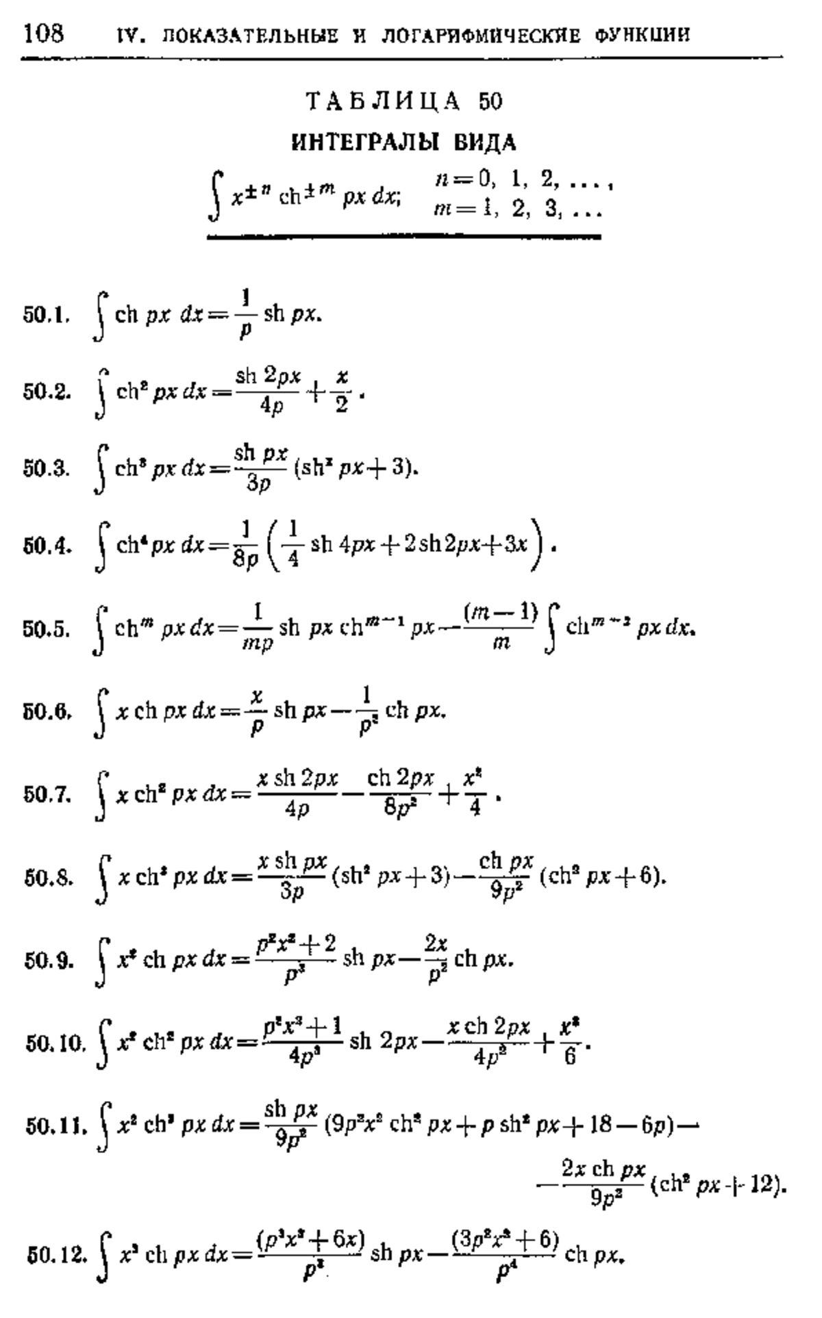
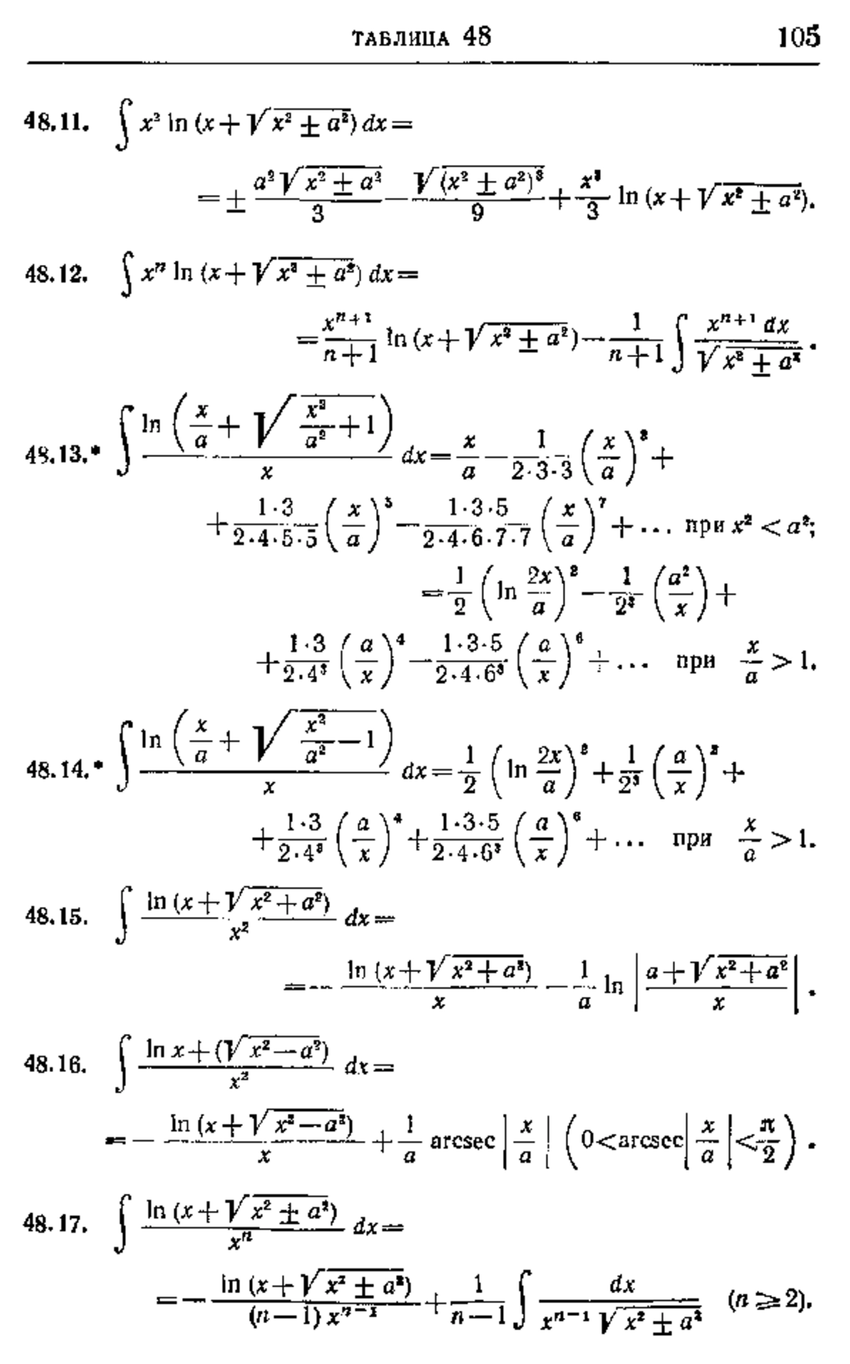
Справочник М. Л. Смолянского содержит около 1300 интегралов, выпускается небольшим форматом и приспособлен для быстрого отыскания нужной формулы. Во втором издании изменено расположение таблиц и выправлены замеченные опечатки.
Информация о документе
- Формат документа
- PDF, DJVU
- Кол-во страниц
- 112 страниц
- Загрузил(а)
- Лицензия
- —
- Доступ
- Всем
Информация о книге
- Издательство
- ГИФМЛ
- Год публикации
- 1963
- Каталог SCI
- Математика
- ББК
- 22.1. Математика
- УДК
- 51. Математика
Статистика просмотров
Статистика просмотров книги за 2025 год.