Исследовано повреждающее воздействие магнитной маркировки наночастицами магнетита и постоянного магнитного поля на жизнеспособность, метаболизм и магнитные свойства магнитомаркированных дрожжевых клеток, которые могут быть использованы как магнитоуправляемые биосорбенты с пассивными и активными механизмами биосорбции. Магнитные свойства магнитомаркированных клеток оценивались методом весов Фарадея. Показано, что магнитная восприимчивость магнитомаркированных клеток возрастает при увеличении концентрации железа, приходящегося на 1 клетку ( CFe ), и не изменяется в течение нескольких суток для клеток, культивируемых в постоянном магнитном поле и без постоянного магнитного поля. Повреждающее воздействие на жизнеспособность исследуемых дрожжевых клеток оценивалось по разности относительной доли живых клеток в популяции в начале и конце их культивирования. Количество живых клеток оценивалось методом окрашивания метиленовым синим и подсчетом окрашенных клеток в камере Горяева. Показано, что повреждающее воздействие магнитной маркировки в исследованном диапазоне CFe не зависит от CFe при культивировании без постоянного магнитного поля и возрастает с увеличением CFe при культивировании в постоянном магнитном поле. Метаболизм магнитомаркированных клеток оценивали по выходу протонов из дрожжевых клеток в ходе переработки ими глюкозы (тест подкисления). Показано, что магнитная маркировка снижает интенсивность выхода протонов из клетки не более чем на 30%. Таким образом, в данной работе показано, что при использовании магнитной маркировки наночастицами магнетита можно получать жизнеспособные дрожжевые клетки с парамагнитной восприимчивостью. Такие магнитомаркированные клетки можно использовать как магнитоуправляемые биосорбенты, которые могут осуществлять пассивную и активную биосорбцию токсикантов и при этом эффективно отделяться с помощью магнитных сепараторов от очищаемой среды.
Идентификаторы и классификаторы
- SCI
- Биология
Загрязнение сточных вод тяжелыми металлами является серьёзной экологической проблемой, поскольку тяжелые металлы не разлагаются биологическим путем и могут накапливаться в живых тканях.
Список литературы
1. Balintova M., Estokova A. Materials for heavy metals removal from waters // Materials. 2024. Vol. 17, iss. 9. DOI: 10.3390/ma17091935 EDN: FYNZLD
2. Zinicovscaia I., Yushin N., Grozdov D., Rodlovskaya E., Khiem L.H. Yeast - as bioremediator of silver-containing synthetic effluents // Bioengineering. 2023. Vol. 10, iss. 4. DOI: 10.3390/bioengineering10040398 EDN: CNHWSX
3. Sieber A., Jelic L.R., Kremser K., Guebitz G.M. Spent brewer’s yeast as a selective biosorbent for metal recovery from polymetallic waste streams // Frontiers in Bioengineering and Biotechnology. 2024. Vol. 12. DOI: 10.3389/fbioe.2024.1345112 EDN: UYQAZZ
4. Veglio F., Beolchini F. Removal of metals by biosorption: a review // Hydrometallurgy. 1997. Vol. 44, iss. 3. P. 301-316. EDN: AHVJXS
5. Diep P., Mahadevan R., Yakunin A.F. Heavy metal removal by bioaccumulation using genetically engineered microorganisms // Frontiers in Bioengineering and Biotechnology. 2018. Vol. 6. DOI: 10.3389/fbioe.2018.00157 EDN: BFGWXC
6. Лыков И.Н., Гаранин Р.А., Петрухина Д.И. Использование биомассы микроорганизмов для извлечения тяжелых металлов из сточных вод // Экология урбанизированных территорий. 2018. № 3. С. 60-63. DOI: 10.24411/1816-1863-2018-13060 EDN: VOHRJF
7. Faraji M., Shirani M., Rashidi-Nodeh H. The recent advances in magnetic sorbents and their applications // Trends in Analytical Chemistry. 2021. Vol. 141. DOI: 10.1016/j.trac.2021.116302
8. Солопов М.В., Легенький Ю.А., Беспалова С.В., Холявка М.Г. Биосорбция ионов тяжелых металлов дрожжевыми клетками, модифицированными наночастицами магнетита // Вестник Воронежского государственного университета. Серия: Химия. Биология. Фармация. 2019. № 1. С. 96-102. EDN: ZCTEUH
9. Diaz-Ravina M., Baath E. Development of metal tolerance in soil bacterial communities exposed to experimentally increased metal levels // Applied and Environmental Microbiology. 1996. Vol. 62, № 8. P. 2970-2977. DOI: 10.1128/aem.62.8.2970-2977.1996
10. Гаранин Р.А., Лыков И.Н. Исследование возможности использования дрожжей (Saccharomyces cerevisiae) в качестве биосорбента тяжелых металлов из промышленных сточных вод // Вестник Московского государственного технического университета им. Н.Э. Баумана. Серия Естественные науки. 2008. № 1 (28). С. 110-119. EDN: ILKWVH
11. Zablotskii V., Polyakova T., Dejneka A. Cells in the non-uniform magnetic world: how cells respond to high-gradient magnetic fields // BioEssays. 2018. Vol. 40, iss. 8. DOI: 10.1002/bies.201800017 EDN: YIGODR
12. Bae J.-E., Huh M.-I., Ryu B.-K., Do J.-Y., Jin S.-U., Moon M.-J., Jung J.-C., Chang Y., Kim E., Chi S.-G., Lee G.-H., Chae K.-S. The effect of static magnetic fields on the aggregation and cytotoxicity of magnetic nanoparticles // Biomaterials. 2011. Vol. 32, iss. 35. P. 9401-9414. DOI: 10.1016/j.biomaterials.2011.08.075 EDN: PLFWXX
13. Dobosz B., Gunia E., Kotarska K., Schroeder G., Kurczewska J. The effect of a magnetic field on the transport of functionalized magnetite nanoparticles into yeast cells // Applied Sciences. 2024. Vol. 14, iss. 4. DOI: 10.3390/app14041343 EDN: OVWHZZ
14. Турчин В.В., Лёгенький Ю.А., Солопов М.В., Попандопуло А.Г., Беспалова С.В., Фисталь Э.Я. Магнитофоретические свойства фетальных фибробластов человека, маркированных суперпарамагнитными наночастицами оксида железа, стабилизированными цитратом // Гены и клетки. 2017. Т. 12, № 1. С. 47-53. EDN: YUPZQT
15. Беспалова С.В., Кладько Д.В., Легенький Ю.А., Павлов В.Н., Глазунова В.А. Влияние низкочастотного переменного магнитного поля на жизнеспособность магнитомаркированных клеток Saccharomyces cerevisiae // Актуальные вопросы биологической физики и химии. 2019. Т. 4, № 3. С. 335-339. EDN: QIAQPK
16. Sigler K. Acidification power (AP) test and similar methods for assessment and prediction of fermentation activity of industrial microorganisms // Kvasny prum. 2013. Vol. 59, iss. 7-8. P. 204-208. DOI: 10.18832/kp2013021
Выпуск
Другие статьи выпуска
Статья посвящена анализу особенностей интеллектуального наследия сирийского богослова IV в. Ефрема Сирина. В работе исследуется его профессиональный путь, а также основные направления интеллектуальной мысли - тринитарное богословие, христология, аскетическая практика, экзегетика. Отдельное внимание уделено богословским трудам Ефрема Сирина, составляющим ключевой пласт его творческого наследия (в частности, «Гимны» и «Комментарии на Бытие»), а также особенностям его поэтического гения. Работа строится на последних исследованиях жизни и профессионального пути этого сирийского богослова, в которых представлена глубина и полновесность его идей относительно христианской тематики, имеющих актуальность, в том числе, и для современного религиозного мышления. Подходя к интерпретации работ Ефрема Сирина, авторы отмечают, что в настоящее время отсутствуют исследования, которые бы рассматривали его в ракурсе позднеантичного интеллектуала, чье наследие оказало существенное влияние на развитие научной традиции восточно-христианского мира. В статье отмечается, что глубина научного потенциала Ефрема Сирина была отмечена современниками и потомками этого мыслителя, а уникальный способ изложения материала отличал его от большинства интеллектуалов позднеантичного периода.
Битва при Рафии (22 июня 217 г. до н. э.), которая завершила 4-ю Сирийскую войну между царством Селевкидов и птолемеевским Египтом, вошла в античную историю как одно из самых масштабных и вместе с тем недооценённых сражений. Долгое время на основании достаточно подробного рассказа Полибия исследователи делали вывод о недостаточном мастерстве полководцев. Только в конце 1970-х гг. Б. Бар-Кохва и Э. Галили в своих публикациях попытались переосмыслить ход сражения и реконструировать его на основе топографических данных. Опираясь на одни и те же фрагменты Полибия и пользуясь тем, что точного описания местности он не даёт, они приходят к разным выводам и локализуют поле битвы в разных местах; их аргументы интересны, позволяют прояснить иные места у Полибия и истолковать те или иные тактические решения, хотя, безусловно, не являются неуязвимыми для критики. Тем не менее главное, что их объединяет, - по-своему (в каждом случае) убедительная попытка опровергнуть старый историографический тезис об «упадке» эллинистического военного искусства после Александра Великого. Оба исследования сохраняют актуальность до сих пор.
Лишайники - это устойчивая, саморегулирующаяся ассоциация гриба и водорослей или цианобактерией. Состав фотобионтов связан с определенными таксономическими группами лишайников. Будучи хорошо адаптированными, лишайники играют заметную роль в антарктической флоре. В статье представлены результаты исследования азотсодержащего состава талломов лишайников представителей флоры Антарктиды. Образцы талломов отбирались д. б. н. М. П. Андреевым (Ботанический институт имени В. Л. Комарова РАН) в январе-апреле 2015, 2016 и 2018 гг. в разных районах Антарктиды. В работе использовали 11 видов лишайников, относящихся к семействам Cladoniaceae, Parmeliaceae, Sphaerophoraceae, Ochrolechiaceae, Umbilicariaceae, Stereocaulaceae, Pannariaceae, Collemataceae с разным типом фотобионта. Приведены данные о содержании в талломах лишайников общего азота, растворимого белка, свободных и белковых аминокислот. Отмечен высокий коэффициент вариации изученных показателей. Медианные значения выборки по содержанию аминокислот отличались от средних, что свидетельствует о небольшом смещении нормальности распределения первичных данных. Показано, что лишайники с цианопрокариотами отличались бóльшим содержанием общего азота и белковых аминокислот, чем лишайники с зеленой водорослью в качестве фотобионта. Установлено, что содержание белковых и свободных аминокислот коррелирует с концентрацией общего азота в талломах, тогда как корреляция между содержанием растворимого белка и общего азота, а также растворимого белка и суммы белковых и свободных аминокислот статистически незначима. В целом, полученные результаты существенно углубляют и расширяют представление об эколого-биологических особенностях лишайников Антарктиды и их роли в круговороте азота экосистем.
В статье рассматривается изменчивость количественных морфологических признаков эпифитного лишайника H. physodes. Исследования проведены на территории Республики Марий Эл в березняке разнотравном в основании и в середине склона, перепад высот между местообитаниями составляет 6 метров. В каждом местообитании талломы лишайника H. physodes v₁-g₃v онтогенетических состояний были собраны с деревьев березы повислой с двух высот: 0-0,5 м и 0,5-2,0 м. Изучено 6 морфометрических признаков. Сравнение признаков проведено с помощью трехфакторного (местообитание, высота на стволе, онтогенетическое состояние) дисперсионного анализа. Все морфометрические признаки различаются в онтогенезе. Разное положение деревьев в рельефе влияет только на диаметр слоевища H. physodes, наибольшие размеры характерны для более влажного и менее освещенного основания склона. Наименее изменчивый признак - число лопастей слоевища. Диаметр слоевища, число и диаметр губовидных соралей, диаметр шлемовидных соралей больше на высоте 0-0,5 м. Многие морфометрические признаки слоевища H. physodes реагируют на микроклиматические изменения в рельефе и на стволе дерева в определенных онтогенетических состояниях.
Последние два с половиной десятилетия (в разные годы) летом на 7 постоянных маршрутах проводились учеты птиц в сельских населенных пунктах разных природно-территориальных комплексов Нижегородской области. В некоторых из них птиц учитывали на протяжении нескольких лет. Практически везде использовали маршрутный метод с нефиксированной полосой учета. Всего было отмечено 113 видов птиц (в том числе редких) из 13 отрядов, 35 семейств. Общими для всех населенных пунктов отмечены 10 видов. Лидируют по обилию в большинстве случаев деревенская ласточка Hirundo rustica Linnaeus, 1758 и полевой воробей Passer montanus (Linnaeus, 1758), реже - белая трясогузка Motacilla alba Linnaeus, 1758. Четких территориальных отличий между населением птиц разных природно-территориальных комплексов не выявлено. Орнитокомплексы неоднородны по разным характеристикам как в пространстве, так и во времени. Население птиц сельских населенных пунктов, расположенных среди крупных лесных массивов, отличается высоким видовым богатством, включая фоновые виды, максимальным видовым разнообразием, низкой долей участия доминантов. При кластерном анализе они объединяются в общую группу. Близки к ним по видовому разнообразию орнитокомплексы населенных пунктов со сложно структурированным пространством, окруженных открытыми ландшафтами в сочетании с овражно-балочными лесами.
В работе рассмотрены вопросы влияния отдаленных последствий боевых действий на состояние древесных растений (на примере г. Донецка). Установлено, что в результате повреждения экспериментального дендроценоза ударной вибрационно-акустической волной в 2017 году пострадали 29 растений, в большей степени деревья Fraxinus excelsior L. (~52%). Общие нарушения - вывал деревьев с плитой или начало этого процесса, вывал ослабших растений, у которых корневая система была нарушена ранее или же слабо развита в результате конкуренции с другими видами, необратимые деформации, разрыв тканей или облом ствола и скелетных ветвей первого порядка. При оценке отдаленных экологических эффектов выяснили, что через 7,5 лет после происшествия выпали (или подверглись критическим нарушениям) 122 дерева - Fraxinus excelsior L. (59%), Robinia pseudoacacia L. (23%), Gleditsia triacanthos L. (9%) и Acer platanoides L. (9%). Динамика выпадения древесных растений показывает, что полученные повреждения от ударной волны (точка отсчета 2017 год) нарушили целостность дендроценоза и приводят к каскадному выпадению древесных растений вследствие влияния природно-климатических факторов (по состоянию на 2024 г.). Выявлен устойчивый вид - Quercus robur L.: его мощная корневая система и значительные размеры способствовали сопротивлению растений к ударной вибрационно-акустической волне; по результатам мониторинговых исследований в 2024 году установили, что деревья находятся в отличном состоянии.
Исследование посвящено анализу соотношения стабильных изотопов углерода (ẟ¹³C) и азота (ẟ¹⁵N) в шерсти млекопитающих отряда Грызуны (обыкновенный бобр - Castor fiber Linnaeus, 1758; лесная мышь - Apodemus uralensis Pallas, 1811; водяная крыса - Arvicola amphibius Linnaeus, 1758; ондатра - Ondatra zibethicus Linnaeus, 1766; азиатский бурундук - Eutamias sibiricus (Laxmann, 1769); обыкновенная летяга - Pteromys volans Linnaeus, 1758; обыкновенная белка - Sciurus vulgaris Linnaeus, 1758) на территории Вологодской области. Изотопный состав углерода в шерсти исследованных животных варьирует от -28,2‰ до -17,9‰, азота - от 0,4‰ до 10,6‰. Значения ẟ¹³C в шерсти млекопитающих отряда Грызуны выше, а ẟ¹⁵N ниже, чем в шерсти млекопитающих отряда Хищные, исследованных ранее на территории Вологодской области. Соотношение тяжелых изотопов углерода и азота в шерсти животных, отловленных в разных районах Вологодской области, статистически значимо не различается. Установлено, что шерсть гидробионтов менее обогащена тяжелым изотопом углерода и более обогащена тяжелым изотопом азота, чем шерсть наземных представителей отряда Грызуны. Шерсть всеядных грызунов более обогащена тяжелым изотопом азота, чем шерсть фитофагов. Выявлено перекрытие изотопных ниш у отдельных видов грызунов. Установлено статистически значимое снижение тяжелого изотопа углерода в шерсти ондатры на 2,7‰ за 50 лет.
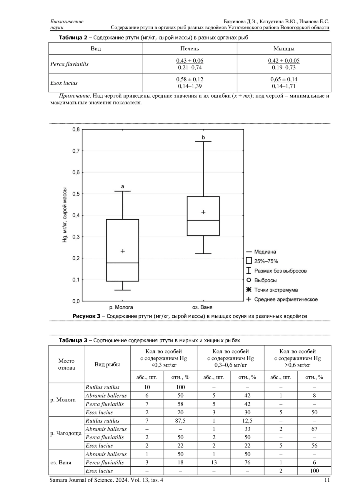
В данной статье рассматриваются уровни накопления и распределения ртути в тканях рыб разного трофического статуса из разных водных объектов (р. Молога, р. Чагодоща, оз. Ваня), расположенных в западной части Вологодской области, отличающейся благоприятными для процессов метилирования природно-климатическими условиями. Содержание ртути было определено в 108 пробах тканей 87 особей четырех видов рыб: плотва обыкновенная Rutilus rutilus (Linnaeus, 1758); синец Abramis ballerus (Linnaeus, 1758); окунь речной Perca fluviatilis Linnaeus, 1758; щука обыкновенная Esox lucius Linnaeus, 1758. Общую концентрацию ртути измеряли на ртутном анализаторе РА-915M с приставкой ПИРО+ (нижний предел обнаружения ртути в образцах 0,001 мг/кг). Значения показателя ртути в тканях исследованных видов рыб варьирует в пределах от 0,02 до 1,7 мг/кг, сырой массы. Минимальные средние значения отмечены для преимущественно нехищного вида - плотвы (0,12 мг/кг, сырой массы), максимальные средние значения отмечены у типичного хищника - обыкновенной щуки (0,64 мг/кг, сырой массы) (у отдельных особей превышало 1,5 мкг/г). Промежуточные значения характерны для окуня и синца (в среднем 0,33 мг/кг, и 0,37 сырой массы соответственно). Установлено, что у 28% исследованных особей содержание ртути превышает нормативные уровни, действующие в Российской Федерации (0,3 мкг/г для нехищных видов и 0,6 мкг/г для хищных видов рыб).
Издательство
- Издательство
- СГСПУ
- Регион
- Россия, Самара
- Почтовый адрес
- 443099, Самарская область, город Самара, ул. Максима Горького, д.65/67
- Юр. адрес
- 443099, Самарская область, город Самара, ул. Максима Горького, д.65/67
- ФИО
- Бакулина Светлана Юрьевна (РЕКТОР)
- E-mail адрес
- rectorat@sgspu.ru
- Контактный телефон
- +7 (846) 2074400
- Сайт
- https://sgspu.ru