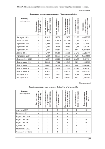
Введение: в современных политических системах Западной Европы зеленые партии играют значительную роль, получая существенную поддержку избирателей и участвуя в коалиционных правительствах. Однако партии, которые акцентируют свое внимание на узком спектре проблем («нишевые» партии), сталкиваются с дилеммой: расширение круга вопросов может привлечь больше голосов, но может и снизить поддержку основного электората, сосредоточенного на экологических вопросах. Данное противоречие может влиять и на распределение правительственных портфелей. Цель: выявить влияние электорального веса и программных предпочтений зеленых партий на получение дополнительных министерских мест в правительстве. Методы: качественный сравнительный анализ. Результаты: сравнительный анализ 15 правительств стран Западной Европы, в которых участвовали зеленые партии, подтвердил положительное влияние шантажного потенциала, низкого приоритета экологических проблем и среднего приоритета экономических вопросов на получение дополнительных министерских постов. Вопросы благосостояния и качества жизни граждан, а также идеологическая близость с партией премьерминистра не влияли на получение дополнительных постов, поскольку эти факторы встречались одинаково и в положительных, и в отрицательных исходах. Выводы: изучение факторов, способствующих получению дополнительных министерских постов, демонстрирует прагматичный подход зеленых партий: они готовы уменьшить акцент на экологических проблемах ради увеличения числа правительственных должностей. Такая адаптация позволяет им участвовать в управлении различными сферами жизни и расширять свое влияние.
Идентификаторы и классификаторы
При пропорциональном голосовании в парламентских системах, как правило, ни одна политическая партия не занимает 50 % + 1 место в законодательном органе власти. Этот факт ведет к созданию коалиции, которая формирует правительство и определяет политическую жизнь государства до следующих выборов. Распределение министерских постов является важнейшим этапом переговоров между потенциальными партнерами, и важно понимать, под влиянием каких факторов распределяются министерские портфели в коалиционных правительствах.
Список литературы
- Adams, R. B. (2012), “Governance and the financial crisis”, International Review of Finance, vol. 12, no. 1, pp. 7–38, https://doi.org/10.1111/j.1468- 2443.2011.01147.x.
- Blings, S. (2020), “Niche parties and social movements: Mechanisms of programmatic alignment and party success”, Government and Opposition, vol. 55, no. 2, pp. 220–240, https://doi.org/10.1017/gov.2018.18.
- Browne, E. C. and Franklin, M. N. (1973), “Aspects of coalition payoffs in European parliamentary democracies”, American Political Science Review, vol. 67, no. 2, pp. 453–469, https://doi.org/10.2307/1958776.
- Chaisty, P. and Power, T. J. (2024), “Gamson going global? Cabinet proportionality in comparative perspective”, European Political Science Review, vol. 16, no. 4, pp. 630–646, https://doi.org/10.1017/S1755773924000067.
- Cutler J., De Marchi, S., Gallop, M. et al. (2016), “Cabinet formation and portfolio distribution in European multiparty systems”, British Journal of Political Science, vol. 46, no. 1, pp. 31–43, https://doi.org/10.1017/s0007123414000180
- Dardanelli, P. and Mazzoleni, O. (2021), Switzerland–EU relations, Routledge, London, UK, https://doi.org/10.4324/9781003038719.
- Demyanenko, N. and La Mura, P. (2023), “Gamson–Shapley laws: A formal approach to parliamentary coalition formation”, Humanities and Social Sciences Communications, vol. 10, art. no. 710, https://doi.org/10.1057/s41599-023- 02207-7.
- Downs, A. (1957), An economic theory of democracy, Harper & Row, New York, NY, US.
- Falcó-Gimeno, A. and Indridason, I. H. (2013), “Uncertainty, complexity, and Gamson’s Law: Comparing coalition formation in Western Europe”, West European Politics, vol. 36, no. 1, pp. 221–247, https://doi.org/10.1080/01402382.2013.74 2758.
- Gamson, W. A. (1961), “A theory of coalition formation”, American Sociological Review, vol. 26, no. 3, pp. 373–382, https://doi.org/10.2307/2090664.
- Kluser, K. J., Schmuck, D. and Sieberer, U. (2023), “Colleagues or adversaries: Ministerial coordination across party lines”, Governance, vol. 37, no. 2, pp. 517–536, https://doi.org/10.1111/gove.12784.
- Krauss, S. and Kluever, H. (2023), “Cabinet formation and coalition governance: The effect of portfolio allocation on coalition agreements”, Government and Opposition, vol. 58, no. 4, pp. 862–881, https://doi.org/10.1017/gov.2021.68.
- Laver, M., de Marchi, S. and Mutlu, H. (2011), “Negotiation in legislatures over government formation”, Public Choice, vol. 147, pp. 285–304, https://doi. org/10.1007/s11127-010-9627-4.
- Lehmann, F. (2024), “Why accommodate? How niche pressure and intra-party divisions shape mainstream party strategies”, Journal of European Public Policy, pp. 1–26, https://doi.org/10.1080/13501763.2024.2408320.
- Martin, L. W. and Vanberg, G. (2004), “Policing the bargain: Coalition government and parliamentary scrutiny”, American Journal of Political Science, vol. 48, no. 1, pp. 13–27, https://doi.org/10.2307/1519894.
- Massetti, E. and Schakel, A. H. (2021), “From staunch supporters to critical observers: Explaining the turn towards Euroscepticism among regionalist parties”, European Union Politics, vol. 22, no. 3, pp. 424–445, https://doi. org/10.1177/14651165211001508.
- Meguid, B. (2005), “Competition between unequals: The role of mainstream party strategy in niche party success”, American Political Science Review, vol. 99, no. 3, pp. 347–359, https://doi.org/10.1017/S0003055405051701.
- Meguid, B. (2023), “Adaptation or inflexibility? Niche party responsiveness to policy competition, with evidence from regionalist parties”, European Journal of Political Research, vol. 62, no. 2, pp. 355–376, https://doi.org/10.1111/1475- 6765.12540.
- Montero, B. M. (2006), “Noncooperative foundations of the nucleolus in majority games”, Games and Economic Behavior, vol. 54, no. 2, pp. 380–397, https://doi. org/10.1016/j.geb.2005.01.001.
- Mudde, C. (1999), “The single-issue party thesis: Extreme right parties and the immigration issue”, West European Politics, vol. 22, no. 3, pp. 182–197, https://doi.org/10.1080/01402389908425321.
- Resta, V. and Daadaoui, M. (2023), “Multiparty coalition governments, portfolio allocation and ministerial turnover in Morocco and Algeria”, Middle East Law and Governance, vol. 15, no. 3, pp. 369–397, https://doi.org/10.1163/18763375-15030008.
- Rovny, J. and Polk, J. (2020), “Still blurry? Economic salience, position and voting for radical right parties in Western Europe”, European Journal of Political Research, vol. 59, no. 2, pp. 248–268, https://doi.org/10.1111/1475-6765.12356.
- Sartori, G. (1976), Parties and party system: A framework for analysis, Cambridge University Press, New York, NY, US.
- Spoon, J. and Williams, C. (2022), “Environmental chauvinism? Explaining issue expansion among non-mainstream parties”, Party Politics, vol. 29, no. 6, pp. 1077– 1108, https://doi.org/10.1177/13540688221117262.
- Wagner, M. (2012), “Defining and measuring niche parties”, Party Politics, vol. 18, no. 6, pp. 845–864, https://doi.org/10.1177/1354068810393267.
- Zons, G. (2016), “How programmatic profiles of niche parties affect their electoral performance”, West European Politics, vol. 39, no. 6, pp. 1205–1229, https://doi. org/10.1080/01402382.2016.1156298.
Выпуск
Другие статьи выпуска
Введение: в статье оценивается современное состояние и перспективы международного сотрудничества в энергетической сфере (на примере атомной промышленности), а также влияние этого сотрудничества на место России в новой системе мирохозяйственных связей. Инвестиции в строительство атомных электростанций растут на волне зеленой повестки и стремления к низкоуглеродной генерации при одновременной невозможности обеспечить устойчивое энергоснабжение за счет других источников. Авторы анализируют текущие проблемы, вызовы и уровень конкурентоспособности ГК «Росатом» на различных рынках. Цель: развитие научных представлений о влиянии международного отраслевого сотрудничества, а именно сотрудничества в атомной отрасли, на особенности интеграции российской экономики в систему мирохозяйственных связей, а также оценка возможных перспектив расширения экспортного потенциала атомной энергетики. Методы: системный подход, анализ статистических данных, дедуктивный метод и метод сравнения. Результаты: анализ совместных проектов показал, что наиболее результативным является энергетическое сотрудничество России и Китая. Авторами предложены прогнозы, учитывающие преимущества и риски международного сотрудничества, специфику мировых энергетических рынков, инициативы, предпринимаемые всеми акторами процесса трансформации системы мирохозяйственных связей. Выводы: атомная энергетика в мировом энергетическом комплексе, особенно на фоне роста цен на ископаемые энергоресурсы, приобретает весьма существенное значение и оказывает влияние на социально-экономическое развитие России, одновременно выступая инструментом политического доминирования. Технологическое преимущество в атомной отрасли обеспечивает конкурентоспособность страны в условиях создания нового миропорядка, основанного на взаимовыгодных экономических отношениях суверенных государств и правилах ООН.
Введение: кооперация представляет собой альтернативную форму предпринимательской деятельности, позволяющую объединять финансовые капиталы и организационные ресурсы участников. В условиях экономического кризиса, падения доходов именно кооперация может стать наиболее эффективным механизмом роста предпринимательской активности и развития экономики. Цель: анализ факторов, лимитирующих готовность населения к организации или вступлению в кооперативы; определение механизмов социального управления, обеспечивающих развитие кооперации. Методы: анкетный опрос населения (N = 4422 респондента). Признаки репрезентации: пол, возраст, место проживания (город/село). Результаты: к лимитирующим факторам развития кооперации, по оценкам респондентов, можно отнести следующие: низкий уровень доверия потенциальных участников кооперации друг к другу, отсутствие капитала, недостаточность государственной поддержки, проблемы с арендой помещения, высокие налоги. Меры, направленные на развитие компетенций и повышение знаний в области кооперации, способны повысить готовность граждан к объединению в кооперативы. Результаты исследования позволили выделить ключевых субъектов поддержки кооперативной инициативы населения, среди которых первый радиус составляют организации отраслевого сектора, непосредственно задействованные в повестке кооперативного развития; второй радиус – региональные и местные органы власти; третий – предпринимательские сообщества. Выводы: анализ ограничений развития кооперации показал наличие ряда проблем и потребностей потенциальных кооператоров. С одной стороны, у населения присутствует интерес к развитию компетенций в области кооперации, к ознакомлению с передовым опытом и положительными практиками в данной сфере. С другой стороны, в условиях экономического кризиса у граждан актуализированы рациональные запросы на финансовую поддержку со стороны органов власти, минимизацию рисков и издержек ведения хозяйственной деятельности. Практическая значимость исследования определяется разработкой организационно-административных, нормативно-правовых, социокультурных, образовательных, коммуникационных, инфраструктурных механизмов социального управления развитием кооперации.
Введение: в условиях ухудшения внешней социально-экономической среды актуализируются вопросы, связанные с обеспечением технологического суверенитета России и ее регионов. Одним из факторов, от эффективного воспроизводства которого зависит решение данной задачи, является научно-технологический потенциал территорий. Российские регионы существенно различаются по уровню научно-технологического развития, по условиям осуществления в них научной, научно-технической и инновационной деятельности, в том числе по ресурсному обеспечению воспроизводства научно-технологического потенциала. Это делает необходимым не только оценку научнотехнологического потенциала субъектов Российской Федерации, но и выявление факторов, которые на него воздействуют. Наряду с этим сам феномен научно-технологического потенциала является многоаспектным в части исследования и методологические подходы к его оценке вызывают дискуссию. Цель: построить рейтинг научно-технологического потенциала регионов России, основываясь на разработанной методике, позволяющей провести объективный анализ научно-технологического потенциала территорий, осуществить дифференцированную оценку субъектов Российской Федерации по показателям науки и технологий. Методы: сравнение методик оценки научно-технологического потенциала и научно-технологического развития регионов, многомерный сравнительный анализ на основе интегрального подхода для определения уровня научно-технологического потенциала. Результаты: структурированы теоретические концепции, в рамках которых исследуется развитие регионов и факторы, обусловливающие этот процесс. Показана полярность положений этих концепций в двух направлениях: 1) вмешательство/невмешательство органов власти в экономические процессы; 2) сближение/отсутствие сближения между регионами по показателям социально-экономического развития. Выявлена дискуссионность в отношении методических подходов к оценке научно-технологического и инновационного развития субъектов Российской Федерации. Показано, что, несмотря на сходство их целевого назначения, существуют различия, которые вызваны разницей в информационных источниках, в применяемых типах данных (статистические данные или ведомственные данные и результаты экспертных опросов), а также в открытости и доступности показателей для анализа. Выделены группы регионов по уровню развития в них научно-технологического потенциала. Выводы: большинство субъектов Российской Федерации характеризуются научно-технологическим потенциалом «ниже среднего» в связи с аналогичным уровнем составляющих, входящих в его структуру. Сходная ситуация – в большинстве регионов Северо-Западного федерального округа, в том числе в Вологодской области. В последней возможности для реализации научно-технического потенциала связаны с наличием потенциала в части исследований и разработок, а препятствием выступает кадровое и финансовое обеспечение.
Введение: в 2016 году начали разрабатываться первые российские интернет-порталы инициативного бюджетирования, позволяющие гражданам участвовать в распределении бюджетных средств в цифровом формате. По данным мониторинга развития инициативного бюджетирования в субъектах Российской Федерации, число таких интернет-порталов в 2023 году достигло 24 единиц (специализированные интернет-порталы функционируют в 20 регионах). В настоящее время их функционирование не регулируется нормативными правовыми актами, отсутствуют стратегические документы, которые определяли бы их перспективы. Кроме того, в отечественной научной литературе недостаточно изучен накопленный опыт и не проведена оценка развитости и полезности таких интернет-порталов для пользователей. Цель: оценить функционал российских интернет-порталов инициативного бюджетирования и сравнить их с зарубежными аналогами. Методы: использована усовершенствованная методика оценки развитости интернет-порталов общественного участия ООН. Результаты: большинство оцененных интернет-порталов инициативного бюджетирования требуют улучшения и расширения функционала (в статье дается подробная характеристика по пяти категориям), и только восемь из двадцати четырех превысили медианное значение оценки. Результаты сравнения российских и зарубежных интернет-порталов показали развитость функционала последних. Выводы: существующие в России интернет-порталы инициативного бюджетирования в основном используются как информационные ресурсы, в то время как прямая вовлеченность граждан через цифровые площадки остается недостаточной.
Введение: неравенство потребления в России является стабильно высоким. Децильный коэффициент фондов находится в диапазоне 7–9, а коэффициент Джини – в диапазоне 0,3–0,36. Потенциал налогообложения в сглаживании неравенства потребления не реализован. Цель: обоснование возможностей сглаживания неравенства потребления в России с помощью косвенного налогообложения на основе оценки уровня неравенства и влияния на него распределения налоговой нагрузки по НДС в разрезе децильных групп. Методы: анализ показателей дифференциации и концентрации потребления – децильного коэффициента фондов и коэффициента Джини – в динамике, а также расчет средней эффективной ставки НДС по децильным группам и оценка влияния на нее изменения НДС по отдельным статьям потребительских расходов. Расчеты выполнены на основе данных Росстата с использованием пакета «Анализ данных» в MS Excel за 2004–2022 годы. Проведено их сравнение с данными Евростата по странам Евросоюза. Сформированный датасет содержит около 600 индикаторов неравенства потребления и влияния на него косвенного налогообложения. Результаты: косвенное налогообложение в России в разрезе децильных групп граждан носит регрессивный характер и не способствует сглаживанию неравенства. Различие структуры потребления наименее и наиболее обеспеченных граждан по статьям затрат открывает перспективы для сглаживания неравенства с помощью косвенного налогообложения. Выводы: целесообразно снижение НДС до 10 % по услугам ЖКХ, формирующим существенную часть расходов нижних децильных групп, по аналогии с товарами первой необходимости, а также возвращение 20%-ного НДС по отдыху, гостиницам и общественному питанию, где превалируют траты верхних децильных групп. Это обеспечит прогрессивность косвенного налогообложения: средняя эффективная ставка НДС для первого дециля снизится до 11,52 %, или на 0,78 п. п., для десятого – возрастет до 13,86 %, или на 1,3 п. п., а децильный коэффициент фондов снизится с 7,94 до 7,75.
Введение: в условиях возрастания роли государства в экономике расширяются фискальные инструменты, в набор которых все больше стран включают управление налоговыми расходами. В отличие от прямых расходов налоговые расходы не потребляют ресурсы, однако делают налоговую систему более сложной. Сравнение межстрановых данных о налоговых расходах затруднено вследствие ограниченной сопоставимости налоговых систем. Цель: проверка гипотезы об активизирующем воздействии налоговых стимулов, относящихся к группе налоговых расходов. Объектом эмпирического исследования выбраны страны, выделенные по критерию глубины налоговых расходов в объеме ВВП и налоговых доходов; временной период для анализа обусловлен доступностью данных. Внешним шоком в настоящем исследовании определен кризис, вызванный ограничениями в период пандемии COVID-19. Методы: метод многомерной средней. Результаты: методологический подход показал взаимосвязь политики управления налоговыми расходами с фискальной политикой, структурными особенностями экономики, стратегическими правительственными приоритетами. Авторами проанализированы страновые подходы к использованию механизма налоговых расходов, выделена группа стран для анализа, проведена оценка масштабности и эффективности управления налоговыми расходами на поддержку инвестиций и приоритетных отраслей экономики в странах G20 в период внешних шоков. Изучены налоговые расходы в привязке к тематике экологической устойчивости. Выводы: методом многомерной средней определена масштабность применения налоговых расходов, страны отрейтингованы по значению интегрального показателя. Позиция в рейтинге обусловлена широтой и глубиной налоговых послаблений. Эффективность использования налоговых послаблений оценена через коэффициент увеличения инвестиций и коэффициент увеличения промышленного производства. Результаты оценки показывают, опережают ли экономические показатели темпы роста налоговых расходов.
Введение: эффективная политика локального развития строится на основе доверия, ответственности, социальной солидарности, обеспечивающих консолидацию территориальных сообществ вокруг приоритетов развития на основе неконфликтного согласования интересов. Цель: экспланация моделей солидарности в городских и сельских сообществах как нематериального ресурса политики территориальной сплоченности и локального развития. Методы: сбор и анализ данных с использованием типологического метода, пространственного, социокультурного, компаративного подходов, что позволяет выявить ресурсный потенциал солидарности в политико-управленческой практике. Результаты: в соответствии с логикой экзогенных, (нео)эндогенных концептов политики локального развития предложены модели конструирования солидарности в сельских поселениях. Экзогенная солидарность инициируется местными органами власти, восходящая модель основана на практиках самоорганизации территориальных сообществ. В гибридных моделях экзогенная управленческая инициатива местных органов власти приводит к эндогенному участию сельского сообщества в проектах локального развития. Выделены модели городской солидарности с учетом специфики субъектов консолидирующих инициатив и ресурсов урбанизированных сообществ. Описаны принципы и стратегии мобилизации солидарности, которые не основаны на принуждении или материальном стимулировании и используются в гибридных моделях. Выявлены общие и отличительные характеристики теоретических конструктов солидарности в городских и руральных исследованиях. Выводы: в современных исследованиях и политической практике происходит переход от нисходящей к восходящей либо гибридной модели конструирования солидарности в городских и сельских пространствах, что свидетельствует об активизации субъектной позиции сообществ в процессах развития территорий.
Введение: современная мировая политическая действительность с трудом поддается описанию и анализу. Общецивилизационный кризис характеризуется неспособностью государств к доверительному взаимодействию и партнерству, что, по сути, нивелирует усилия стран по стратегическому планированию, обнуляя концепции, стратегии и программы еще на этапе разработки. На первый план выходит поиск инструментария, способного транскрибировать мировые турбулентные процессы в приемлемые для дальнейшего анализа системы координат. На наш взгляд, таким аналитическим инструментом может послужить политическая картина мира, как высокоуровневый концепт, заключающий в себе базовые понятийно-ориентационные конструкции, которые описывают весь комплекс представлений государства о его месте и роли на мировой арене и векторах его развития в пространственно-временном разрезе. Сегодня мы становимся свидетелями демонстрации притязаний на значимость и борьбы за власть среди известных политических картин мира: западная картина мира, евразийская, европейская, коалиционные и китайские концепты (БРИКС, «Один пояс – один путь», ШОС, «Сообщество единой судьбы человечества» и др.). Яркий пример – концепция устойчивого развития, которая, будучи наднациональным стратегическим документом, проявляет себя как политическая картина мира. Несмотря на всеобщее принятие, она получила избирательную имплементацию в национальных стратегических нормах и остается примером научных споров об источниковом происхождении и принадлежности к западной модели мироустройства. Цель: проанализировать место, роль и функции политической картины мира в системе документов стратегического планирования в России (на примере концепции устойчивого развития). Методы: исторический анализ, сравнительные методы, контент-анализ. Результаты: структурными элементами политической картины мира являются базовые общецивилизационные и политические категории: культура, мораль и право, политический порядок, идеологии, нации, государства, история, языки и т. д. Концепция устойчивого развития обладает структурными категориями, сходными с концептом «политическая картина мира». Следует зафиксировать тенденцию политизации концепции устойчивого развития и ее противоречивый характер, который проявляется, с одной стороны, во всеобщем ее принятии мировым сообществом, а с другой – в зарождающемся дискурсе об источниковом происхождении и «опасном» соответствии ее структурных элементов компонентам, образующим национальные политические картины мира, и, как следствие, необходимости адаптации целей устойчивого развития к особенностям национальных политических картин мира. Выводы: система стратегического планирования и институты выработки стратегической политики России являются картиноформирующими институтами, а документы стратегического планирования содержат в себе структурные элементы, составляющие политическую картину мира. Концепция устойчивого развития в целом встроена в документы стратегического планирования России. Несмотря на расхождение по таким категориям, как вопросы войны и мира, безопасности, соблюдения суверенитета, развития в обществе идей справедливости, патриотизма и волонтерства, концепция устойчивого развития выглядит базовым ядром рассмотренных документов стратегического планирования и формирует существенную часть современной политической картины мира России.
Статистика статьи
Статистика просмотров за 2025 год.
Издательство
- Издательство
- ПГНИУ
- Регион
- Россия, Пермь
- Почтовый адрес
- 614068, Пермский край, г. Пермь, ул. Букирева, 15
- Юр. адрес
- 614068, Пермский край, г. Пермь, ул. Букирева, 15
- ФИО
- Германов Игорь Анатольевич (И.о. ректора)
- E-mail адрес
- rector@psu.ru
- Контактный телефон
- +7 (342) 2396326
- Сайт
- http://www.psu.ru